Posted 17.07.2020 16:46 Только что, ve-tech сказал: На выкуп? Я в феврале спарк брал фул автомат с салона 8150$, ждал месяц, отдал на выкуп. Да, он внука ждал(и дождался), там куча своих расходов, обещал закрыть до ноября частями. Я этот равон брал в июле 2018 за почти 10. Потом, в августе 19 года отцовский кобальт переоформил на себя и стал ездить. Один чел собирался забрать, машина пылилась на стоянке 3 месяца. Потом друг спросил, отдал в безпроцентную рассрочку.. 6 Share this post Link to post Share on other sites
Posted 17.07.2020 16:50 2 минуты назад, trew сказал: Потом друг спросил, отдал в безпроцентную рассрочку.. Молодец. Правильно сделал. 1 Share this post Link to post Share on other sites
Posted 18.07.2020 06:02 17 часов назад, arteto сказал: На бампере чуть чуть задетые места есть. На бампере можно не считать.Это расходный материал. 1 Share this post Link to post Share on other sites
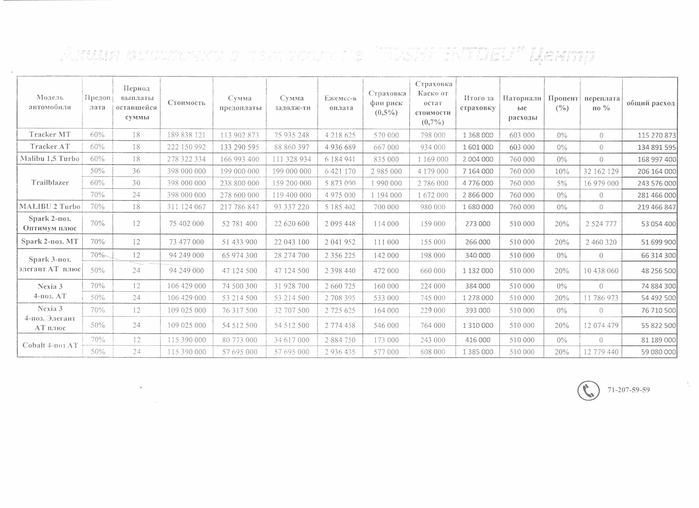
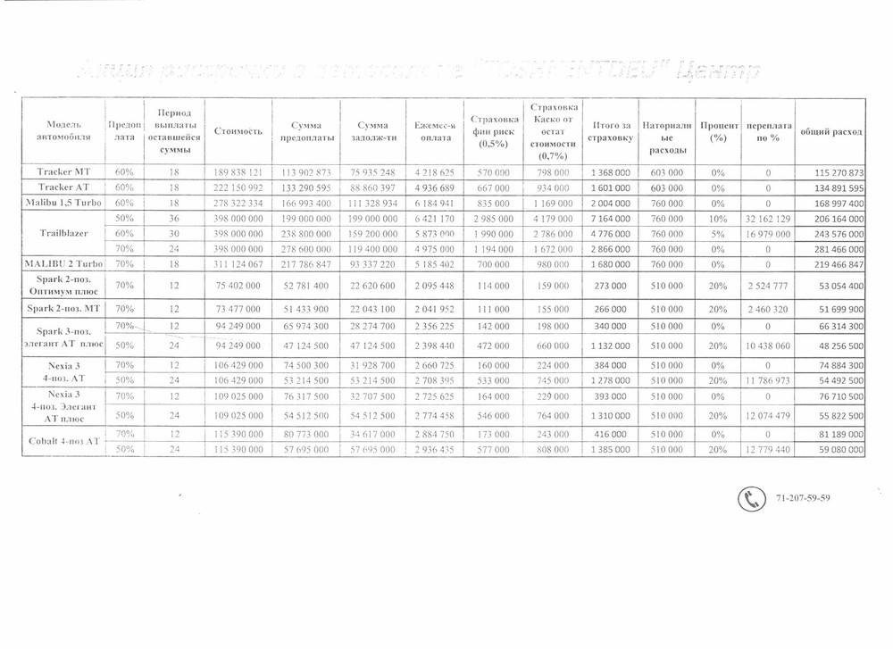
Posted 18.07.2020 06:08 arteto С салона в рассрочку не рассматриваете?Предоплата 66 млн и в месяц по 2,35 млн.На 12 месяцев и без переплат. 1 Share this post Link to post Share on other sites
Posted 18.07.2020 06:09 1 минуту назад, yura aka сказал: arteto С салона в рассрочку не рассматриваете?Предоплата 66 млн и в месяц по 2,35 млн.На 12 месяцев и без переплат. Где? 0 Share this post Link to post Share on other sites
Posted 18.07.2020 06:10 Только что, arteto сказал: Где? Да во всех салонах есть.Сейчас скрин скину.Это с автосалона на Южном 1 Share this post Link to post Share on other sites
Posted 18.07.2020 06:12 Только что, yura aka сказал: Да во всех салонах есть.Сейчас скрин скину.Это с автосалона на Южном Спасибо. На след неделе тогда на Малику поеду... Мне туда ближе и приятнее, свой район 0 Share this post Link to post Share on other sites
Posted 18.07.2020 06:13 И номер телефона снизу есть.Можете позвонить и узнать детали. 1 Share this post Link to post Share on other sites
Posted 18.07.2020 07:48 1 час назад, arteto сказал: Спасибо. На след неделе тогда на Малику поеду... Мне туда ближе и приятнее, свой район бери кобальт акпп в рассрочку 0 Share this post Link to post Share on other sites
Posted 18.07.2020 07:50 (edited) 2 минуты назад, HOBBIT сказал: бери кобальт акпп в рассрочку Бро. Не нравится кобальт. Уродливый. Мне нравится жентра матовая, но она таких денег не стоит. Сейчас Спарк новый цвет вышел, друг взял, как мокрый асфальт, только чуть другой блеск. Если с салона лучше такой Спарк взять Edited 18.07.2020 07:50 by arteto 1 Share this post Link to post Share on other sites
Posted 18.07.2020 07:51 3 минуты назад, arteto сказал: Бро. Не нравится кобальт. Уродливый. Мне нравится жентра матовая, но она таких денег не стоит. Сейчас Спарк новый цвет вышел, друг взял, как мокрый асфальт, только чуть другой цвет. Если с салона лучше такой Спарк взять на спарки нет беспроцентной рассрочки 0 Share this post Link to post Share on other sites
Posted 18.07.2020 07:53 2 минуты назад, HOBBIT сказал: на спарки нет беспроцентной рассрочки Юра ака же сказал есть 0 Share this post Link to post Share on other sites
Posted 18.07.2020 07:56 5 минут назад, arteto сказал: Юра ака же сказал есть значит появилась. 0 Share this post Link to post Share on other sites
Posted 18.07.2020 07:56 Только что, HOBBIT сказал: значит появилась. 0 Share this post Link to post Share on other sites
Posted 18.07.2020 08:52 16 часов назад, Ulikta сказал: не тянет, согласна. Я щас на Жентре, как будто в холодильнике, езжу. Зато расход бензина меня радует, залил на 140 тыс полный бак и катаюсь неделю. На нексии 3 не успевал заливать и газом пахло (если кондёр включал). PS ездил на запоре 1.5 года, кондёр всегда на 1 был и этого хватало. 0 Share this post Link to post Share on other sites
Posted 18.07.2020 08:55 1 час назад, arteto сказал: Бро. Не нравится кобальт. Уродливый. Мне нравится жентра матовая, но она таких денег не стоит. Сейчас Спарк новый цвет вышел, друг взял, как мокрый асфальт, только чуть другой блеск. Если с салона лучше такой Спарк взять Зачем в рассрочку брать? Там предоплата будет как за б/у который брать собираешься. Помимо этого полики, чехлы и тд и тп тоже расход и ждать месяц. 1 Share this post Link to post Share on other sites
Posted 18.07.2020 09:01 5 минут назад, ve-tech сказал: Зачем в рассрочку брать? Там предоплата будет как за б/у который брать собираешься. Помимо этого полики, чехлы и тд и тп тоже расход и ждать месяц. Тоже верно 0 Share this post Link to post Share on other sites
Posted 18.07.2020 10:09 21 час назад, arteto сказал: Вот и беру. В кои веки повезло и беру то, что хочу... Да я поезжу поменяю. Чисто на год. Сам хочу джентру в матовом цвете которая и тюнинг её сделать. У меня друг купил навороты, диски 18 тыс села. Такая дерзкая стала, цвет бомба. Ппц смотрится за 18 тыс можно даже у вас что то нормальное взять а не древнего лося с подозрительным окрасом. 4 Share this post Link to post Share on other sites
Posted 18.07.2020 10:35 23 minutes ago, Bublik said: за 18 тыс можно даже у вас что то нормальное взять а не древнего лося с подозрительным окрасом. Кажется он имел ввиду 18-ые диски на Джентру, а не 18 тыс у.е. 0 Share this post Link to post Share on other sites
Posted 18.07.2020 10:40 (edited) 9 минут назад, *F.C.B* сказал: Кажется он имел ввиду 18-ые диски на Джентру, а не 18 тыс у.е. Неее. Короче друг взял джентру автомат. Типа тюнинга сделал. 18 тыс села. Полный фарш сделал. Руль от Малибу, фары другие, люк от сигналки туда сюда, магнитола, колонки, диски, шины, тонировка и тд, короче пацанская машина в матовом цвете... Всё удовольствие общий с ценой тачки 18 тыс село, тачка с салона была куплена.. 5 минут назад, arteto сказал: Edited 18.07.2020 10:45 by arteto 0 Share this post Link to post Share on other sites
Posted 18.07.2020 10:44 руль от малибу на лося это как седло от коня на ишака. смысла мало. конем все-равно не станет - будет ишаком с седлом :) 11 Share this post Link to post Share on other sites
Posted 18.07.2020 10:56 Матовый цвет нашего автопрома - порнуха. Выглядит как дешевая пленка. 7 Share this post Link to post Share on other sites
Posted 18.07.2020 10:56 1 час назад, arteto сказал: Тоже верно беру бу за 6 тонн, а то в рассрочку возьмешь, первое же авто, по любасу там задел,тут протер ,настроение уже не то, за машину платить все равно нужно будет 12 мес , 6 тыщ если дают норм цена,через год минимум теряешь, может и свои вернешь, и опыта наберешься :)со всех сторон плюс 16 минут назад, arteto сказал: Неее. Короче друг взял джентру автомат. Типа тюнинга сделал. 18 тыс села. Полный фарш сделал. Руль от Малибу, фары другие, люк от сигналки туда сюда, магнитола, колонки, диски, шины, тонировка и тд, короче пацанская машина в матовом цвете... Всё удовольствие общий с ценой тачки 18 тыс село, тачка с салона была куплена.. без обид щас описал натуральный арамобиль 7 Share this post Link to post Share on other sites
Posted 18.07.2020 11:04 12 минут назад, arteto сказал: Неее. Короче друг взял джентру автомат. Типа тюнинга сделал. 18 тыс села. Полный фарш сделал. Руль от Малибу, фары другие, люк от сигналки туда сюда, магнитола, колонки, диски, шины, тонировка и тд, короче пацанская машина в матовом цвете... Всё удовольствие общий с ценой тачки 18 тыс село, тачка с салона была куплена.. Я раньше тоже думал тюнинге. Потом повзрослел наверно, номер сидя в салоне не виден и тем проще номер, тем меньше тормозят. Фары и диски тоже самое, шины согласен менять нужно. Магнитофоны, сабвуферы, колонки тоже не понимаю на таких бюджетных машинах. Тонировку стоит делать, если круговая, а задние боковые смысла нету. Я например в 95% езжу один, меня недотонировка не спасёт. Имхо я лучше каптос взял бы, если бюджет на обслуживание будет хватать. Как говориться на вкус и цвет. А если чисто для езды по делам то матиз и спарк идеальный вариант и недорогие в обслуживании. 2 Share this post Link to post Share on other sites